Fallstudie: Allometrie bei Blütenblättern

Von der primären Datenerhebung zur statistischen Analyse

DS2 SoSe 2024

Herausgegeben

June 23, 2024

Die nachstehenden Daten wurden unverändert und ohne zusätzliche Überprüfung direkt -so wie von den Gruppen eingereicht - dargestellt. Daher kann die Auswertung keine Gewähr für die Richtigkeit der Daten übernehmen.

1 Übersicht Messorte

Show the code
dats <- dat |>
  select(Gruppenname, Breitengrad:Standorttyp, Ordnung, Familie, Gattung, Art, Pflanzen_ID) |>
  distinct() |> 
  group_by(Gruppenname, Breitengrad, Laengengrad, Ordnung, Familie, Gattung, Art) |>
  count() |> 
  ungroup()

# RColorBrewer::brewer.pal(8, name = "Paired")
# sort(unique(dats$Ordnung))

getColor <- function(dats) {
  sapply(dats$Ordnung, function(Ordnung) {
    if(Ordnung == "Asparagales") {
      "#A6CEE3"
    } else if(Ordnung == "Ericales") {
      "#1F78B4"
    } else if (Ordnung == "Liliales") {
      "#B2DF8A" 
    } else if(Ordnung == "Magnoliales") {
      "#33A02C"
    } else if(Ordnung == "Malpighiales") {
      "#FB9A99"
    } else if (Ordnung == "Ranunculales") {
      "#E31A1C"
    } else if (Ordnung == "Rosales") {
      "#FDBF6F"
    } else { # Saxifragales
      "#FF7F00"
    }
  }
  )
}


my_colors <- getColor(dats)
names(my_colors) <- NULL

icons <- awesomeIcons(
  icon = 'ios-close',
  # iconColor = 'black',
  library = 'ion',
  markerColor = "gray",
  iconColor = my_colors
)

# Add more Info in popup
dats$content <- paste0(
  "<b>", dats$Gruppenname, "</b><br/>",
  "<em>", dats$Art, "</em><br/>",
  "(", dats$Familie, ", ", dats$Ordnung, ")<br/>",
  "Anzahl an beprobten Individuen: ", dats$n
)

p <- leaflet(dats) |> 
  addTiles() |> 
  setView(lng = 10, lat = 53.5, zoom = 8) |>
  addAwesomeMarkers(
    ~Laengengrad, ~Breitengrad, 
    icon = icons, popup = ~content)
p 
Show the code
# htmlwidgets::saveWidget(p, file = "./Uebersicht_Messorte_20240623.html")

2 Übersicht Standorttypen

Show the code
tidy_standorte <- dat |> 
  select(Standorttyp) |> 
  distinct() |> 
  mutate(Standorttyp = str_replace_all(Standorttyp, "/", ", ")) |> 
  arrange(Standorttyp)

df_wordcloud <- tidy_standorte |> 
  unnest_tokens(word, Standorttyp) |> 
  count(word, sort = TRUE) 

op <- par(cex = 0.75, mar = rep(0, 4), oma = rep(0, 4))
set.seed(4)
wordcloud::wordcloud(df_wordcloud$word,df_wordcloud$n,
  scale=c(6,.2), min.freq=3,
  max.words=Inf, random.order=FALSE, rot.per=.15, 
  colors=RColorBrewer::brewer.pal(8, "Dark2"))

Wordcloud der am häufigsten genannten Standorttypen

Wordcloud der am häufigsten genannten Standorttypen
Show the code
par(op)

kable(tidy_standorte, caption = "Detailierte Liste der angegebenen Standorttypen")
Detailierte Liste der angegebenen Standorttypen
Standorttyp
Am Flussffer vom Rathauswettern; schattig
Am Teichufer vom Kuckucksteich; schattig
Am Teichufer vom Mahlbusen; schattig
Am Ufer vom Kuckucksteich, schattig
Audimax
Beet, Sonnenseite
Botanischer Garten
Botanischer Garten am Wegrand
Botanischer Garten, Kiesbeet
Botanischer Garten, halbschattig
Botanischer Garten, schattig
Botanischer Garten, sonnig
Europaeische Wiese mit Schatten aus Nord-Westen
Europaeische Wiese mit Schatten aus Sued-Osten
Europaeische Wiese mit Schatten aus Sued-Westen
Europaeische Wiese mit Schatten aus Sueden
Europaeische Wiese ohne Schatten
Feld, Deich
Friedhof, Parkanlage
Friedhof, schattig
Friedhof, schattig, halbschattig
Garten
Garten, sonnig
Grindelweg 20146 HH
Halbschatten
Halbschattig
Halbschattiger Standort
Landschaftsgärtnerei
Loki Schmidt garten
Loki-Schmidt-Haus, Botanischer Garten (bewölkt)
Nördliche Ausrichtung
Obsthof
Osterstraße_Vorgarten
Park
Park _am_Weiher
Park, Halbschatten
Park, sonnig, halbschattig
Park__Sonnig_bis_Halbschatten
Planten un Blomen
Planten un Blomen (Wassernähe)
Planten un bloomen, Hamburg
Planten und Blomen
Planten und Blomen Park
Planten_und_Blomen
Privatgarten
Rhododendron Park Bremen
Schattig
Schlueterstraße_Vorgarten
Sonnig
Sonnig, Halbschattig
Sonnig-Halbschattig
Stadtpark
Stadtpark am Wegrand (sonnig)
Stadtpark, am Wegrand
Stadtpark, am Wegrand, aber weiter im Stadtpark drin und schattiger
Stadtpark, im Gebüsch (sehr schattig)
Stadtpark_Wegrand
Straßenrand, Halbschatten
Sumpfwiese
Südliche Ausrichtung
Wegesrand
Westliche Ausrichtung
Wiese, sonnig
Wohngarten
botanischer Garten
botanischer Garten “Klein Flottbek”
halbschatten
halbschattig
planten un blom
schatten
schattig
sonnig
sonnig bis schattig
Östliche Ausrichtung

Wordcloud der am häufigsten genannten Standorttypen

3 Gesamtvergleich der Blattlängen und -breiten

3.1 Gruppenunterschiede der Einzelmessungen auf einem Blick

Show the code
p1 <- dat |>
  arrange(Ordnung, Gattung, Art, Gruppenname) |>
  mutate(
    Gruppenname = factor(Gruppenname) |> forcats::fct_inorder()
  ) |>
  ggplot(aes(Gruppenname, Blattlaenge, fill = Ordnung_dt)) +
  geom_boxplot() +
  scale_fill_manual(values = col_order) +
  guides(fill = guide_legend(title = "Ordnung")) +
  ggtitle("Einzelmessungen der Blattlänge pro Gruppe, sortiert nach der Ordnung der untersuchten Art") +
  theme(legend.position = "bottom",
    axis.text.x = element_text(angle = 45, hjust = 1))
plotly::ggplotly(p1)
Show the code
p2 <- dat |>
  arrange(Ordnung, Familie, Gattung, Art, Gruppenname) |>
  mutate(
    Gruppenname = factor(Gruppenname) |> forcats::fct_inorder()
  ) |>
  ggplot(aes(Gruppenname, Blattbreite, fill = Ordnung_dt)) +
  geom_boxplot() +
  scale_fill_manual(values = col_order) +
  guides(fill = guide_legend(title = "Ordnung")) +
  ggtitle("Einzelmessungen der Blattbreite pro Gruppe, sortiert nach der Ordnung der untersuchten Art") +
  theme(legend.position = "bottom",
    axis.text.x = element_text(angle = 45, hjust = 1))
plotly::ggplotly(p2)

3.2 Vergleich der Blattlänge zwischen und innerhalb der Arten

Show the code
dat |>
  arrange(Ordnung, Familie, Gattung, Art, Gruppenname) |>
  mutate(
    Gattung = factor(Gattung) |> forcats::fct_inorder(),
    Art = factor(Art) |> forcats::fct_inorder()
  ) |>
  filter(Ordnung != "Ericales") |>
  ggplot(aes(Gruppenname, y = Blattlaenge, fill = Ordnung_dt)) +
  geom_boxplot() +
  scale_fill_manual(values = col_order[-2]) +
  guides(fill = guide_legend(title = "Ordnung")) +
  facet_wrap(vars(Art), ncol = 5, scales = "free") +
  ggtitle("Variabilität der einzelnen Blattlängen (ohne die Ordnung Ericales)") +
  theme(legend.position = "bottom",
    axis.text.x = element_text(angle = 30, hjust = 1))

Show the code
dat |> 
  arrange(Ordnung, Familie, Gattung, Art, Gruppenname) |>
  mutate(
    Gattung = factor(Gattung) |> forcats::fct_inorder(),
    Art = factor(Art) |> forcats::fct_inorder()
  ) |> 
  filter(Ordnung == "Ericales") |> 
  ggplot(aes(Gruppenname, y = Blattlaenge, fill = Ordnung_dt)) +
  geom_boxplot() +
  scale_fill_manual(values = col_order[2]) +
  guides(fill = guide_legend(title = "Ordnung")) +
  facet_wrap(vars(Art), ncol = 5, scales = "free") +
  ggtitle("Variabilität der einzelnen Blattlängen (NUR die Ordnung Ericales)") +
  theme(
    legend.position = "bottom",
    axis.text.x = element_text(size = 7, angle = 30, hjust = 1),
    strip.text.x.top = element_text(size = 7)
  )

3.3 Vergleich der Blattbreite zwischen und innerhalb der Arten

Show the code
dat |>
  arrange(Ordnung, Familie, Gattung, Art, Gruppenname) |>
  mutate(
    Gattung = factor(Gattung) |> forcats::fct_inorder(),
    Art = factor(Art) |> forcats::fct_inorder()
  ) |>
  filter(Ordnung != "Ericales") |>
  ggplot(aes(Gruppenname, y = Blattbreite, fill = Ordnung_dt)) +
  geom_boxplot() +
  scale_fill_manual(values = col_order[-2]) +
  guides(fill = guide_legend(title = "Ordnung")) +
  facet_wrap(vars(Art), ncol = 5, scales = "free") +
  ggtitle("Variabilität der einzelnen Blattbreiten (ohne die Ordnung Ericales)") +
  theme(legend.position = "bottom",
    axis.text.x = element_text(angle = 30, hjust = 1))

Show the code
dat |> 
  arrange(Ordnung, Familie, Gattung, Art, Gruppenname) |>
  mutate(
    Gattung = factor(Gattung) |> forcats::fct_inorder(),
    Art = factor(Art) |> forcats::fct_inorder()
  ) |> 
  filter(Ordnung == "Ericales") |> 
  ggplot(aes(Gruppenname, y = Blattbreite, fill = Ordnung_dt)) +
  geom_boxplot() +
  scale_fill_manual(values = col_order[2]) +
  guides(fill = guide_legend(title = "Ordnung")) +
  facet_wrap(vars(Art), ncol = 5, scales = "free") +
  ggtitle("Variabilität der einzelnen Blattbreiten (NUR die Ordnung Ericales)") +
  theme(
    legend.position = "bottom",
    axis.text.x = element_text(size = 7, angle = 30, hjust = 1),
    strip.text.x.top = element_text(size = 7)
  )

4 Vergleich der Größenvariabilität innerhalb und zwischen den Blüten und Pflanzen

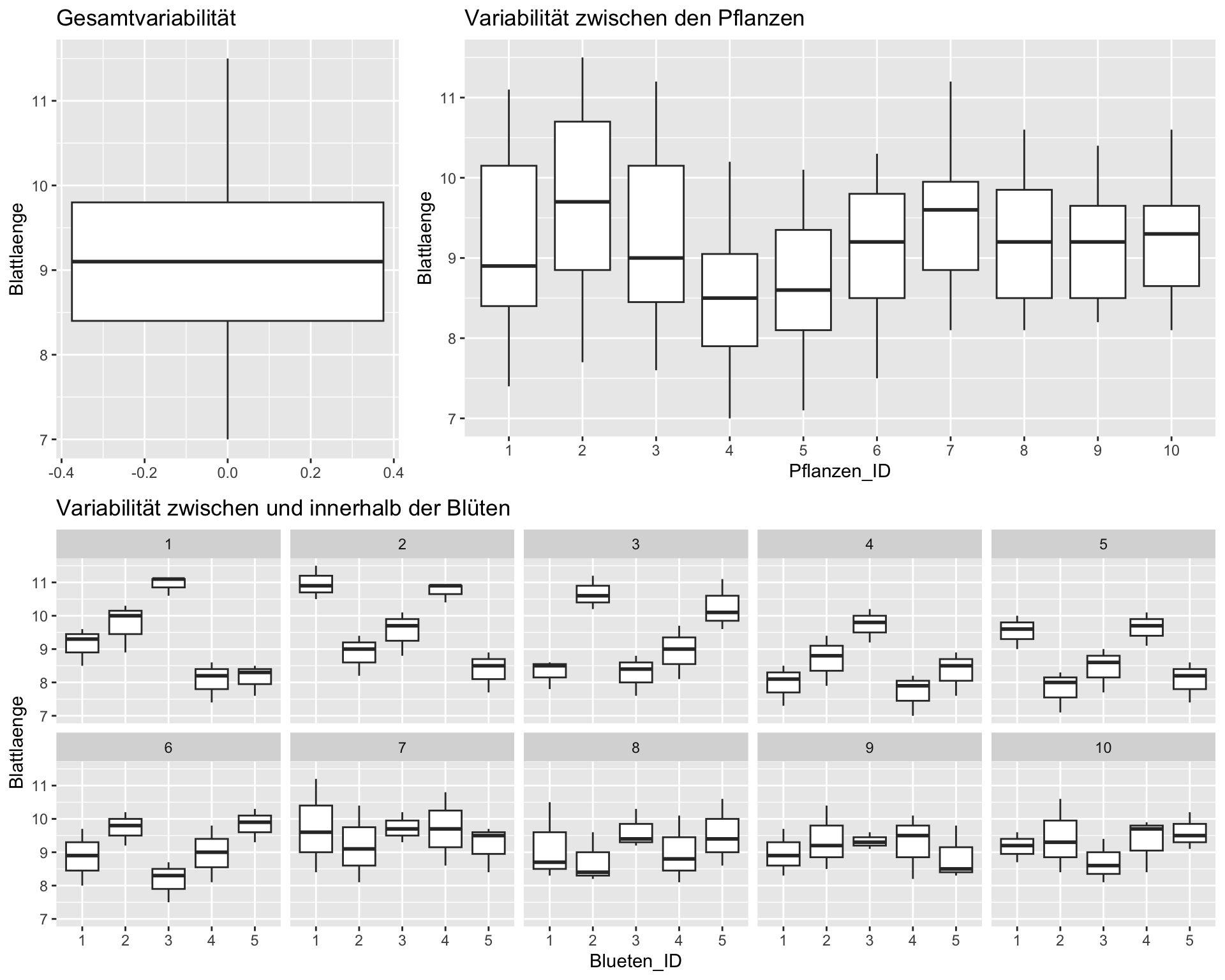
4.1 Beispiel von Rhododendron Cunningham’s White (Gruppe ‘Die 5 Halbstarken’): Blattlänge

Show the code
dat_sub <- dat |>
  filter(Gruppenname == "Die 5 Halbstarken") |>
  mutate(
    Pflanzen_ID = factor(Pflanzen_ID, levels = 1:10),
    Blueten_ID = factor(Blueten_ID)
  )

p1 <- dat_sub |> 
  ggplot(aes(y = Blattlaenge)) +
  geom_boxplot() +
  ggtitle("Gesamtvariabilität")

p2 <- dat_sub |> 
  ggplot(aes(x = Pflanzen_ID, y = Blattlaenge)) +
  geom_boxplot() +
  ggtitle("Variabilität zwischen den Pflanzen")

p3 <- dat_sub |> 
  ggplot(aes(x = Blueten_ID, y = Blattlaenge)) +
  geom_boxplot() +
  facet_wrap(vars(Pflanzen_ID), nrow = 2) +
  ggtitle("Variabilität zwischen und innerhalb der Blüten")

grid.arrange(p1, p2, p3,  
  layout_matrix = matrix(c(1,2,2,3,3,3), nrow = 2, byrow = TRUE))

4.2 Beispiel von Magnolia X soulangeana (Gruppe ‘Dennis u. Lars’): Blattlänge

Show the code
dat_sub <- dat |>
  filter(Gruppenname == "Dennis u. Lars") |>
  mutate(
    Pflanzen_ID = factor(Pflanzen_ID, levels = 1:10),
    Blueten_ID = factor(Blueten_ID)
  )

p1 <- dat_sub |> 
  ggplot(aes(y = Blattlaenge)) +
  geom_boxplot() +
  ggtitle("Gesamtvariabilität")

p2 <- dat_sub |> 
  ggplot(aes(x = Pflanzen_ID, y = Blattlaenge)) +
  geom_boxplot() +
  ggtitle("Variabilität zwischen den Pflanzen")

p3 <- dat_sub |> 
  ggplot(aes(x = Blueten_ID, y = Blattlaenge)) +
  geom_boxplot() +
  facet_wrap(vars(Pflanzen_ID), nrow = 2) +
  ggtitle("Variabilität zwischen und innerhalb der Blüten")

grid.arrange(p1, p2, p3,  
  layout_matrix = matrix(c(1,2,2,3,3,3), nrow = 2, byrow = TRUE))

4.3 Überblick der Variabilität zwischen den Pflanzen für alle Gruppen

Show the code
dat |> 
  arrange(Ordnung, Gattung, Art, Gruppenname) |>
  mutate(
    Pflanzen_ID = factor(Pflanzen_ID, levels = 1:10),
    Blueten_ID = factor(Blueten_ID),
    Gruppenname = factor(Gruppenname) |> forcats::fct_inorder()
  ) |> 
  ggplot(aes(y = Blattlaenge, x = Pflanzen_ID, fill = Ordnung)) +
  geom_boxplot() +
  facet_grid(Gruppenname~., scales = "free") +
  scale_fill_manual(values = col_order) +
  ggtitle("Einzelmessungen der Blattlänge pro Pflanze, sortiert nach der Gruppe \nund Ordnung der untersuchten Art") +
  theme(legend.position = "bottom")

5 Vergleich der Längen-Breiten-Beziehung zwischen den Ordnungen

5.1 Visualisierung der Einzelmessungen

Show the code
n_groups_per_order <- dat |>
  select(Ordnung, Gruppenname) |>
  distinct() |>
  group_by(Ordnung) |>
  count() |>
  rename(n_groups = n)

dat |>
  full_join(n_groups_per_order) |>
  mutate(Ordnung_n = str_c(Ordnung, " (Gruppenzahl: ", n_groups, ")")) |>
  arrange(Ordnung, Gattung, Art, Gruppenname) |>
  mutate(
    Gattung = factor(Gattung) |> forcats::fct_inorder(),
    Art = factor(Art) |> forcats::fct_inorder()
  ) |>
  ggplot(aes(Blattlaenge, Blattbreite, colour = Gruppenname)) +
  geom_point() +
  geom_smooth(method = "lm", se = FALSE) +
  facet_wrap(~Ordnung_n, ncol = 3, scales = "free") +
  guides(colour = "none")

5.2 Visualisierung der Pflanzenmittelwerte

Show the code
dat |> 
  full_join(n_groups_per_order) |> 
  mutate(Ordnung_n = str_c(Ordnung, " (Gruppenzahl: ", n_groups, ")")) |> 
  arrange(Ordnung, Gattung, Art, Gruppenname) |>
  mutate(
    Gattung = factor(Gattung) |> forcats::fct_inorder(),
    Art = factor(Art) |> forcats::fct_inorder()
  ) |> 
  group_by(Ordnung_n, Gruppenname, Pflanzen_ID, Blueten_ID) |> 
  summarise(Blattlaenge = mean(Blattlaenge), Blattbreite = mean(Blattbreite)) |> 
  group_by(Ordnung_n, Gruppenname, Pflanzen_ID) |> 
  summarise(Blattlaenge = mean(Blattlaenge), Blattbreite = mean(Blattbreite)) |>
  ggplot(aes(Blattlaenge, Blattbreite, colour = Gruppenname)) +
  geom_point() +
  geom_smooth(method = "lm", se = FALSE) +
  facet_wrap(~Ordnung_n, ncol = 3, scales = "free") +
  guides(colour = "none")